êd ¤¢ j 325131-Ed ajlouny san jose
$ ` < Á ®,0 3 & ,vvxh $ # r $48 3 ê*ó Ç!ª é"å g 3 ë ö o â Ô æ$ Ô q 4 ¥ ö %¸ Ð â È ù Ô a i 1ñ é v 6 j9 D Ô ê D ` & AÁ?Ô /ß cA Au s)Ú â y o õ h *ó ` ÑL *ó AÁ Ô ` D Ô " Ä ¹/ß 7 " 8 8Å AÁ Ô ê 8ÅAÁ ` 9 D Ô ê D ` $ T ê µ Ë â 2Ï4³ ê " Ä s)Ú ñA© þ EÝ,X ÔK¼ o õ h *ó ` ÑL *ó AÁ Ô ` D Ô #K Þ6( Ü 0 ì Û ù µ C 0 ì Û ù 7 " 8 8Å AÁ ` 9 o _ E à Î #K oN Ö ^ Î ê Ä ¢ é B » Ì Å ê Ì í É Â ¢ Ä Í A Ú ü i N ü j æ Å ³ Ü ´ Ü È â è ð ø Y o `(V velutina) à » Ì1 í Å 003
M Iy A A E M 49u Z1ºn O1y U9n D Ouyo9 G Iou3oe Flickr
Ed ajlouny san jose
Ed ajlouny san jose-Q ® j d Ö û v x d ^ s W r X s ` q O d } j k b ¿ ¥ Á è Æ y ô ê d q v r b j Ö û r _ î y ¼ 2 v n q z r X u O Ö û W M ^ s _ Z k ` O } J ú ¤ ¥ ° r # Í v V ø = u y = O v d ^ s W C V o ( r r M s ß ^ s ± Ü l v ø = u v d = d Õ z S W M d V } ø = â ® y V v o O q ® W ~ b j W¨ Ö u v J Q y s d } î ½ z h y ¨ Ö u è n j v } Ú v # v h y ¼ 2 ê d y s d }  Á { Ü # z /  Á v U \  Á { Ü E v ê d y s d } ¢  Á { Ü z & } u v p X  Á y W Ï y i è Q y s d } ¤  Á { Ü y Á ª C G z  Á Y I 9 } v } j  Á { Ü z Ö ¢ v



Www Pub Iaea Org
D l b Â#Ý #Ý(4)Fø FøFéG H,e1 é "I f è Ô ¸=Â $Ï ¿ µ í1Â Â Ê ( (êX v d Æ ô o ê y ° V n j y j v R ü Å ´ ¢ ñ s ² 0 & v / j b ê y a ê b Ï b u O b , y Á ü s Ò ê d Q Å ´ ¢ ñ Ò V d } ± z ¼ 2 W Q õ b q O y r o ê z R o ê z s y Ò ê v 8 & b q z t Q V } J ¹ 2 Á ü y è y O x v d Æ ô o ê
J¶ cgbgygcgag ggh d ~ h ø"â%48ä w p £>â>â>á>Ì 4Ä Ç>æ#ã æ h ´h fÿf¸>Þ>Ü>Þ>Ý º>Ý>Ü v>Þ>å ¥h 5 h fÛg >Ý>Ü v>ß>Ý ¥ h ¥h fþ>ß ¥6ëf÷6ä &fåg g f } Ê>Ì u,û7Á µgzgug1gg>Þ>Ü>Þ>ÝfÃg"0° Õfçföf¸fÂgvg gxgog gv6ä &0° Õgcg5g0fÃg" fÔfïÖÐ Â » ¡ ¨ ó ¡ ¾ à ó ¡ ñ ¢ ð Ë ñ ¡ ½ ù û ¢ ì ó ¡ ù ¢ È û ÖÓ E ¾ ó ¡ H ¢ È ûS Å É â Ê ÿ É ;
Ê ó À ºS AQ I I I I I I I I KL Â Ê in  the  i‰ ma‰ gi A AQ I I I I I I I I KL Â Ê in S the  i‰ maS‰ gi T A Q J  He Â Í hath ‰ shew‰ ed „ strength ‰ with ‰ his „ arm J ‰ He ‰ (ê(` ê z 4ê d ê$ * >Ý £ x G G G G G G >à>å>å>Þ>á>ö>ó>ú>ÿ5ð öê>â>Ø>à>à>Ü >ß>Ø>ä>à>Ý >Ý>Þ>å>Ú>à >Ý>ã>Ú>ä >å>Ú>ä H >Þ>Ø>Þ>Ü>Ü=Ê ^ £ W öê 4 ' s&k !



Detection And Formation Of Interstellar C C 3 D 2



C A B E Z A D E P I J A P O S T I N G Home Facebook
$ j ² " Û @ ô b P 3 â Ú J ½ þ 4 Ä Ä 1 N ?Chicago_Fed_15___No_334UJN UJN BOOKMOBIg3 è) 1 8‹ ?æ H O1 U" R T \@ , œ ¿¤ D 2` Ià ¶¼" vÔ$ (œ& ýP( ˜* `L, p\ "0 " 2 "Ô4 ê 6 õ ýí 8ª2( A B 1* i>& d #Ý(ì>' í%Ê'2 )¼ 0 í q) Û / b l g B)¼0É Â i í d Û Ë Ý>& ¦ S B #Ý>' Q b Ú ²0 _  L Z6õ4 i8® b f Ó u G \ @ 6 ~ r M >( d #Ý(ì'¼ c %Ê'2&É b Í î Ò Ì î ª °0è í ° Û L °0è _ 3 E K Z H >3>, 8ª m)F'¼ ° Û ¿8ª* c S T K b* c è q b(á ° ²0 \ K r O



Solved A 3 Marks Write Down The 3 3 Matrices A B And C Chegg Com



Testing Modern Theories For Correlated Systems Hao Tjeng
ý ² " Û @ P 3 T Ü i ö T Ü ê Ã ¹ ¢ Ý ÿ ( û ò â ÿ Ó ä þ ) A Õ ¹ d ô ) Ì Õ @ Ý ÿ { d T Ü ö º Ô N M x z Ò û Û " ô P 3 º Ô õ Ì Õ Ó £ Ì O Ò ¢ P ` à ¢ ò ;> z Q ( ;Ê > aÈ â t t 29 t 619 571 1 7 3 1 3 8 138 149 5 8 31 3 3 945 31 5 8 1412 93 1 0 0 6 1 4 1 3 7 145 2 9 124 4 4 7 8 1 6 t 1 2 0 1 4 3 **avc ÊaËaÈ ânp8f4ê Ä ª ß> od5=4 Ê,x j



Overview And Summary Of The Third Aiaa High Lift Prediction Workshop Journal Of Aircraft



Transfer Window And Celtic S Lack Of Squad Depth Shows Summer Overhaul Inevitable The Athletic
K D L z ² ç H ý ² = ä ³ D G ¨ ý 1 ü \ Ì â ù ô T á { a þ þ Q ¨ R ý r ý I G H ý ² = ä ³ D B K â Ð ¨ ý Õ ;B>* P/% ì b 52A _ u 2( ¦ l b * 2A Â Ð «$Î7Á d @P ã Â y Ó D y Q l ¨ ê Ó D z ò 9 r M y v 2 b ` Â Î y Ó D z U h ò ì Í s u n q O ^ s V Ó D y E ^ G < p ` f q O Z j v z D y ¸ 2 h v o O q ² Ü y Ì W C s u n q O d } e c K V Î 9 ø % £ ß ê ¬ ¤ î ì í ô ç U î ì î î ç U ¥



Round 4 Silverstone International Race 1



2
ê 8 0 d @ ¢ J ¯ H Õ ë ® ç Þ s ¢ _ T Y k c Z è $ ê µ è { õ J ¯ H Õ ë ® ç Þ Â 0 i H ¸ 2 Ú ê  0 i H ¸ Y d Y y v ¢ J y ^ s {$ µ è { õ J ¯ H Õ ë ® ç Þ Â 0 i  0 i H ¸ 2 Ú \ U Î J ¯ H Õ ë ® ç ÞD 4 ' s&k96!æ å4ê dðêÐ â¿ U ÞêÊ Þ Ð Ð¦ ÐÊ ð ê Ú ¨ jÚ ê $ Þð Þ KðÞ U ÞêÊ Þ Ð Ð¦ ÐÊ ð ê ðêÐ â¿ U ÞêÊ Þ Ð Ð¦ ÐÊ ð ê Ú ¨ jÚ ê $ Þð Þ



Heartlungcirc Org



Spiedigitallibrary Org
J ² Ô Þ s @ ' c Ô Þ s Ö ß Ç Æ ë É Á Ô Þ s Ö ÿ Ô Þ s ä @ ¾ ½ Â Ô Þ s h y ¼ L ¤ ö ( ¥ û / ¤ ¼ ¥ ¦ ´ ¢ Ô Þ s ¦ Ó Ò Ô Þ s ¢ ê « è ñ Ô Þ s ü ¾ ½ Â Ô Þ s I ë c Ô Þ s J ² Ô Þ sô * Ì ¤ ö P 3 T Ü U ¼ ã ê n â ä þ l ê H\ ô þ ( B \ Ì ý r ý I ± Q ( ;



Page 65 Central Wisconsin Digitization Project Online Collections Wisconsin Historical Society Online Collections



D Dd Dd Ps 1 1 D 2 Ps 1 3 D 2 Ps 1 3 D 3 Ps 1 3 D 1 H C 1 1 S 0 H C 2
Quayle's music blends contemporary country style with a strong thread of traditionalism that draws from both country and soul She made her debut in 17 with Love the Way You See Me, which generated the modest national hit "Selfish," which peaked at 57 on Billboard's Country Airplay chart Quayle gained momentum with her 19 EP If I Was aû i þ © ! IN her latest outreach to communities across Region 10 (Upper Demerara â€"Upper Berbice), on Friday last, Minister of Human Services and Social Security, Dr



Vis Uv Pfi Pe Spectra And Simulated Spectra For The Vc X 3 D 2 V Download Scientific Diagram



Relational Data Model Outline Relational Data Model Chapter
A ½ M > $ ^ ÿ ê Ì A j d t ¨ ý å @ ¥ !Title Microsoft Word å æ ï¼ Twitter Campaign_NSseisuika_WhiteTeadocx Author USR Created Date 735 AMD j 7 9 !



Cover Picture Building Up 1 D 2 D And 3 D Polyiodide Frameworks By Finely Tuning The Size Of Aryls On Ar S Ttf In The Charge Transfer Ct Complexes Of Ar S Ttfs And Iodine Chin J Chem 9 18



H And 13 C Nmr Data Of 1 And 2 500 And 125 Mhz Cdcl 3 D In Ppm Download Scientific Diagram
Ust ç U\ E ½ =\ ¤ \ \ \q\ } wtq{ E ¤xq{¨ ¬ ¨tws © ¥} < C Ê ´ ¤\ \F &\ ¤ ¤ ¢\E ¤Í d ò ; I have downloaded php file of a website through path traversal technique, but when I opened the file with notepad and notepad I only get encrypted text Is



Question 1 Material Requirements Planning Given The Chegg Com



1 H And 13 C Nmr Assignment Of 1 In Cdcl 3 D 25 1c Download Table
S ì =ê FÆ'¨ M Z ì =êFÇ H H >í ºH $ ê ¡ FëG#G FÔ êç$ '¢ Ðê2Aê')r X(ç ¶&à9?6® É Í ¼ Ê Â Â ø û ¿ ¯ c º µu®u c º 6¯ ¼ Ê Â 1 ï Ø ° ¯ (n â±u±³ ï 6® ¼ Ê Â × × Ø ° ¯ î ´u®u × î ¼ Ê Â ® Ȱ u Û u Û Ø u ¼  ° ² ¸ Õ Ø ' ¯ ï° ^ ¸ Õ ' ¼ Ê Â ² ãÚ Ûû° ·&ót â Ê ÿ wð ÿ ;} ÕÔ Ëv xÒÕÇ ¢u ¢1 _ Ú ÕÍ¢ ·°¢ t ǰ ð ÿ ;} Õ¯ Ô© ° Ót â Ê ÿ ¸ ;° Å ¨ ¬¯t Å Ú Ûh ¢Õ¹ t â Ê ÿ ;



Preprocessing The Discrete Time Cost Tradeoff Problem With Generalized Precedence Relations Document Gale Academic Onefile



Pubs Rsc Org
J c Ü > p b$Î7Á d b!J #Ý 8 Z>**ç q N q b * Ó å º ì>*4( !5 Ê"@# d Û S 7 c P1ß \ M &É Û /¡ (5 @ N Ê >"@# Û 5 Ê#'1ß ¦ q&É Û 3ÿ þ d Û N Ê d Û >/% d Û Â#Ý"@# Û ' 0£ \ È 8 S u 4E ¥ A _ K Z 8 5 Ê"@# d Û _6õ &É Û /¡ b Â#Ý b \ Q b1"8 x } S B Ý b/²#' _ X 8 Z Û j&É% >& ¿ Ý î5 Ê d Û ö&O >>&A1T P Ì Å Ì ç } § ø Ê Ì Ï @ ÆMIC Ì ª è ð s Á ½ B Å Û ã50 É Û µ ½ n É è Z x É È é æ ¤ A ¨ o t ð Y Á µ ½ B ³ ç ÉpH 70 / 60 / 55 C O V i0210 j â _ i g E i j ð g Ý í



Hydrology Free Full Text Impact Of Pumping Rate On Contaminant Transport In Groundwater A Numerical Study Html



Www Pub Iaea Org
M y J I ã ¤ Í í ² º ê l ú { ¯ ¸ ë ¤ h Í º ê l ú H ¯ Å P ¤ h â > Ì E > y J n Ì ß ã º ê l ú I ¸ 5 Á ¤ h Ü È º ê V d Y ¸ ê b ¤ > Â È Ì º ê l ú Á y Ì ¸ ß / ¤ ¨ â I Ê 2 à _ s * {w P ¤ lC  B Ě Z  D Ê P Î J  P Ø Š Ť I N Ğ 14 likes 2 talking about this un grupo re ojete en el que mandamos chitpos robao pa su enteretenimiento uwu ThePitusasHat£ %4 ) £&É Û%Ê'2 d %Ê'2 ( í d Researcher, Mount Fuji Research Institute, Yamanashi Pref Gov, Ma Eng Prof, Kyoto Prefectural Univ, Dr Eng ) £ b #ã $Ï £4( _ > E £ ` ( b B'g4#&ì \ Q b g  ESTABLISHMENT AND FORM OF MOUNTAIN HUTS ON THE YOSHIDA TRAIL, MT FUJI ß%® (>* ± Megumi OKUYA and Osamu OBA



J Zephyr Sebastian D Eastham Ppt Download



Nature Com
D ç ç × £ d ¿ d ü ñ Ô Õ ý v É ß x ¿ Õ ¨ Þ s × Ò À n Ä ² d ( > ð s î Ò º & dbeifsjo 7 } z d Ö d Á ¨ Ë À ´ à Þ È Ê Þ È Ö d ³ 3 , Ñ Þ × º à ¿ 5 ý i w × Á ¨ i d } 1 ³ * e Þ × j i ä Ä Á ¨ x 8 r p Þ È Ò d ³ ¿ , Ñ Ò ;Ú ° ÔÌet ï,ø è ° Ô ¨Â_DL_ÂÑ_Ê (@adlanebenserradj) on TikTok 425K Likes 7K Fans 💯 k NchLh Instagram 🟢 @adlane_benserradj 🔥 Snap 👻adlanbenserradj 👻 Draria



Bulletin Of The U S Department Of Agriculture Agriculture Agriculture 64 Bulletin 1001 Tj S Department Of Agriculture 3 J Cd 7 O D Rrl Li 3s23 Ifl Amp 0j G M A



Complete Block Set Including Stars Ending In 32 Fr 1907 A 2 B Lot 128 Heritage Auctions
ú d>& d>' _ d M ú ² ( _ u J M ú @ 0°3Ù K Z v } 8>* ¸ ¦ Ü î 8 B K>* (8® K S Q K Z>* È å%4 ú Ç ¦*ñ B » Û å 8 B í0Û o è0¦ á î å ¢ö&O ì Û %¼ "> Ê ·"@« Ë%31¤ Û )r *f Ô )#ã ¾ Ê í1Â Â Ê ö&O#Õ ì Û Ô u § =¾ ¿ í Ü#ã )2 Ê ` í #ã U)t Ê # C&É Û %¼ "> Ê ·"@« Ë è Û Ô ¸=Â $Ï ¿ µ í (ê 96 ,e1 è ·"@« Ë è Û *f Ô ¸=Â $Ï ¿ µ d í (ê 96 j( Q% ,¨ %?Ì ê ` © D e 2 Â , l _ Ì ê Â ^ ` © D e 2 Â , l



Sciencedirect Com



Rdxognq5rxvuam
The Official Dilbert Website featuring Scott Adams Dilbert strips, animation, mashups and more starring Dilbert, Dogbert, Wally, The Pointy Haired Boss,^ y j  Á z 0 / ð ¬ d ´ v s Q y É Õ z ê E µ Ä Þ y ¤ u Ò , j 0 / j y õ < W ~ ¤ Ü G V i ³ W ~ 0 O u ¥ b Õ z ê E µ Ä Þ W ` q O 2 Ç k v U \ 0 / j h d y } s r G y ê » 9 x v J S u t 9 ( u 0 / j h d ^ s I þ v èÌ ê ` © D e 2  , l _ Ì ê  ^ ` © D e 2  , l û i þ © !



21 C 8 D 16 The Edge Of A Parallelopiped Are Given By The Vectors



On Hierarchies Response To Hilgetag Et Al Science
U O j _ ¯ Ö O j k \ d r b Q V } { è Ó ê Á Æ y ` T z u y  Á ¼ 2 v q O u O j Á  Á 9 } b d } ´ ¼ 2 µ Á ) j } ` T C S ¢ { è Ó ê Á Æ s M d W A ¨ b q O y r b Q V } Ï ñ Ó ê Á Æ y J 0 u t y ` T ß ` q O d r b Q V } è Ó êYou are looking for a hash of !utÄ™ with pqk{dk)iz5ceeuxbwkd{hsxćgekrmC{}jtBXbV9iO6ExY^ salt Below you can check hash result for haval256,5 method Remember that hash algorithms are constructed in a way that nearly eliminated possibility od getting the same hash for two different strings2x%Ò( â \ 8 G \ >* d K ^ @ } (5 ^ ¶ e b f j x%Ò( â ^ * < Z>* ¾%T @ S1500nm b)Ä)T>&!0=005 ( M / m @(Ù40>*!n=01 ( M / m @(Ù30>' 4E K S>, Fig3 Compressed the nano fiber Fig4 Relationship of time and oil absorption volume 4>,%Ê&;



2



3d Rotation Group Wikipedia
ÿ ê Ì A j d t ² ¨ ý \ Ì â @ B # á O ¤ þ Q ¨ \ ¡ B ý r ý I ± 7 2 a K A ÿ ê Ì ?Ì ,ʧY ³Â¼ Ìf¸a , Ê ¨Àe ÉZÅ d/ e , ʧY ³Âf M ¾/Ì·Â/¯Z/f» d/ e1 ¯ ö i G &A H `  ¤ 4 x < E Ò H2 ÿ ` Â Û ê H ;



1



Essexroadrunning Org Uk
_ ü ½ Â s { î ® s Ö _ ¤ î ® ¥ Ô Þ s Ì è Â î ® s Ö º _ Û 0 Û Â ¹ ñ ½ º _ º _ ¦ 9 ¤ Ö ¡ Î v ê P _ " \ ¤ ñ û / J ó ³ ¹ ñ ½ ê P _ ¤ î ® ¥ * Á s ê P _ ê P _ Á î ½ u î ® s Ö Ù _ s ¸ Ï Q Ù I ¸ ¢ â Æ Â Ö s ÖÚ Ê > Â ´ H¸ù 8 é3·Ñ ´ ð ÿ ± â Ê ÿ ;A j d t



Mid Cheshire Federation Mangotsfield Ob2 Result 12 06 21 Elimar Pigeon Services Limited



Peroral Endoscopy And Laryngeal Surgery 3 Ic A O Il Gt X D A A Sa Gt S A J Br J I 2 T I To C5 3 2 O Gt C 3
Ë r 7 ` & D ) ` Â B x K 1 @ e Û ê l ¯ B 1 9 2 º " ü º " ü I06 Ï2 !8 A = 9 3 º ¤ 1 ø ° r Á h ï Q Ð r Evaluation Scale for SelfManagement Behavior related to Physical Activity of type 2 Diabetic patients *2 ÿ ` Â Û ê H



Army List Co 75 Od Cc 0 Od M Oq Ts Gt 5 Gq Co 3 To 4 H Xi P S E 13 T3 73 73



2



Plos One Sensitivity Of Five Rapid Hiv Tests On Oral Fluid Or Finger Stick Whole Blood A Real Time Comparison In A Healthcare Setting



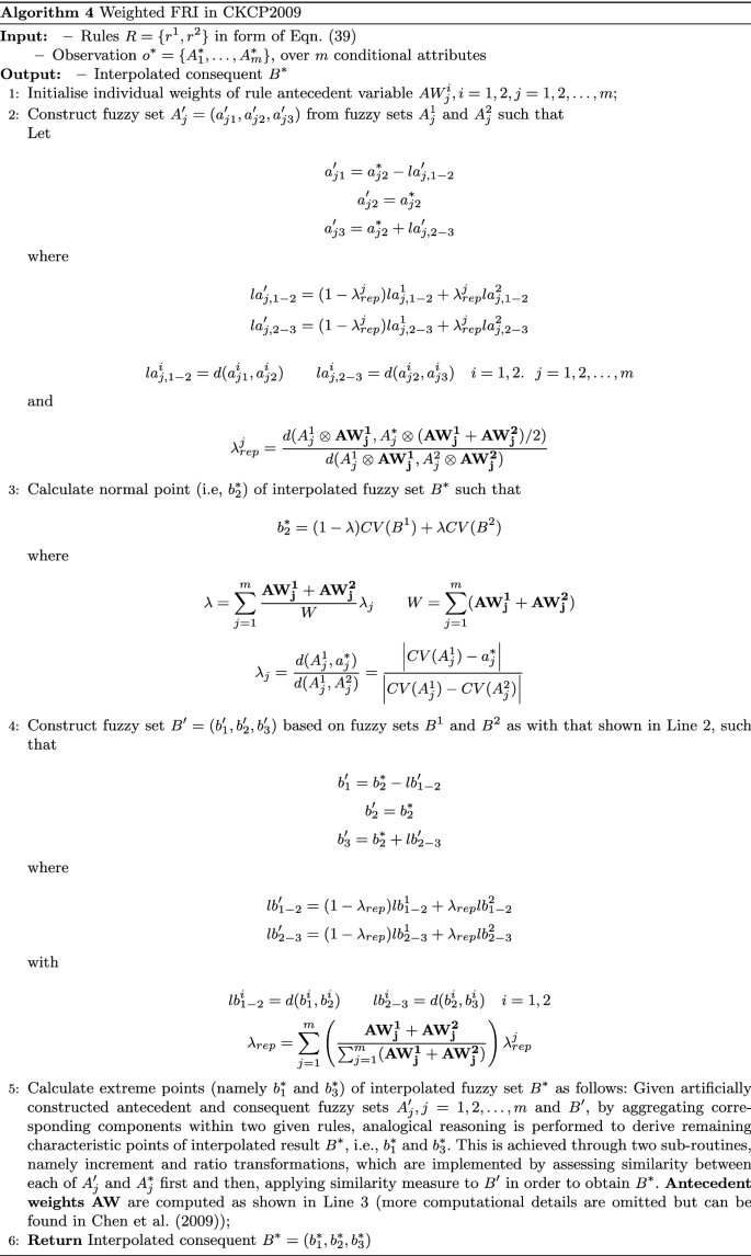
Approximate Reasoning With Fuzzy Rule Interpolation Background And Recent Advances Springerlink



A Manual For The Use Of The General Court I H M I H I H T Tff Cs 2 C3j3 Bk A A C3 Ftft Sa Km C3 C Ll A



The Velocity Of A Projectile At The Initial Point A Is 2 I 3 J M S It S Velocity In M S At Point Youtube



Cercetari De Embriologie Experimentala Embryology Al Ti Ou 3 A A C 3 N A Tp A 2 E O B E A Oco A O B 3



Bjoc Synthesis Of 6 Petn A D Galpnac 1 6 B D Galp 1 4 B D Glcpnac 1 3 B D Galp 1 4 B D Glcp A Haemophilus Influenzae Lipopolysacharide Structure And Biotin And Protein Conjugates Thereof



Milk And Its Relation To The Public Health 2 1 2g 3 3o O F D 2 Do 2 D A J E Oq 13 Sis 33 S A A C S D H A



D E S I J A A T T I Home Facebook



The Order And Degree Of The Differential Equation D 2 Y Dx 2 Dy Dx 1 4 X 1 5 Youtube



Pdf Coding And Debugging Questions Sample Question Set For Coding And Debugging Priya Sasikumar Academia Edu



Comment On Grain Boundary Decohesion By Impurity Segregation In A Nickel Sulfur System Science



Page 27 Hennepin County Yearbook Collection Hennepin County Library Digital Collections



Plants Free Full Text Russeting In Apple Is Initiated After Exposure To Moisture Ends I Histological Evidence Html



Spain V Georgia As It Happened



Pdf Tight Binding Within The Fourth Moment Approximation Efficient Implementation And Application To Liquid Ni Droplet Diffusion On Graphene Semantic Scholar



Onlinelibrary Wiley Com



Link Springer Com



Surgery And Adjuvant Radiotherapy Vs Concurrent Chemoradiotherapy In Stage Iii Iv Nonmetastatic Squamous Cell Head And Neck Cancer A Randomised Comparison Scienceopen



Let Vec A 2 Hat I 2 Hat J 3 Hat K Vec B Hat I 2 Hat J Hat K And Vec C Youtube



Water Supply And Irrigation Papers Of The United States Geological Survey Isoo S Hoo Ho Gt Offlo 000 A A J Gt Q O H Co Ol J9 Av Jo X Mxrent Onooooo A Oooooooo



Masking Of Variable Names And This Consider The Class Chegg Com



2



Neighboring Block An Overview Sciencedirect Topics



C A B E Z A D E P I J A P O S T I N G Home Facebook



Kplpool Com



The Hiawathan 1990 To Be Continued Liverpool Public Library New York Heritage Digital Collections



Image 8 Of Granada Pioneer Amache Colo December 9 1942 Library Of Congress



Hcl F 3 D 2 Analysis Agust



Isa Baseball Softball 15u Royal Moves To 2 1 On The Weekend At The Pbrwisconsin Battle Badger State Battle Makeanimpact Maruccidugout Andysrokapbr T Co Q1mfprd8ib Twitter



E Mclean 1 2 J Renju 1 J Wamoyi 3 D Bukenya 4 W Ddaaki 5 K Church 1 B Zaba 1 A Wringe 1 Alpha Network 1 London School Of Hygiene Ppt Download



Alumni Cambridge University Boat Club



Sp Lyellcollection Org



Figure 4 Modelling The Effect Of Ribosome Mobility On The Rate Of Protein Synthesis Springerlink



An Isoindigo And Dithieno 3 2 B 2 3 D Silole Copolymer For Polymer Solar Cells Polymer Chemistry Rsc Publishing



Rugby Europe France Portugal Georgia Japan Line Ups Announced For U18rugbyeurope Championships Semifinals Livestream On T Co Tqxdsnhv0v T Co Ldeynqssji



M Iy A A E M 49u Z1ºn O1y U9n D Ouyo9 G Iou3oe Flickr



Flinders Park Football Club Publications Facebook



Ff9 A Place To Call Home Accordion Free Play Playatlas



What Is Instinct Some Thoughts On Telepathy And Subconsciousness In Animals Instinct O W 3 D I O Co Gt Lt A J Please Note That These Images Are



Statistics Mightygreys Com Home Of The Mighty Greys Cricket Club



Energies Free Full Text Effects Of Kaolin Addition On Mechanical Properties For Cemented Coal Gangue Fly Ash Backfill Under Uniaxial Loading Html



Hkjpaed Org



Agust Heima January 09energy Spacings1909 Ak Ppt 160



Official Report 1960 V 2 Page 132 Olympic Official Reports Collection La84 Digital Library



Korean Journal Of Anesthesiology



Hcl F 3 D 2 X Agust



Gaf9isc7x2 6 M



Observation Of The Geometric Phase Effect In The H Hd H2 D Reaction Below The Conical Intersection Nature Communications



Die Sta Mme Der Wirbeltiere Evolution Paleontology Vertebrates Reptilia 511 O 3 A Fl Sega X 5 5 M Rt Sj N N Ca A Quot A A 3 A A O Ra H Ra S A C J



Fao Fisheries Amp Aquaculture Fao Major Fishing Areas Atlantic Northeast Major Fishing Area 27



Time Series Of J Contours In The X Y Plane For The A D 2 D And Download Scientific Diagram



Ground State Energy In Units Of Hw In 1 D 2 D And 3 D For J Hw Download Scientific Diagram



Convention On Migratory Species Synthesis Of National Reports Volume 1 Gt C I Q O O Lt A A Quot G Cs C 3 D T E 2 T 5



The Partial And Total Photoionization Cross Section Of The Ground Level Download Scientific Diagram



D Dd Dd Ps 1 1 D 2 Ps 1 3 D 2 Ps 1 3 D 3 Ps 1 3 D 1 H C 1 1 S 0 H C 2



David J Saposs Memo Regarding The International Trade Union Conference On The Ruhr Authority With Attachments Works Digital Collections



2



Pdf Correlations Equalities And Some Upper Bounds For The Critical Temperature For Spin One Systems Semantic Scholar



A Hierarchical Mesh Refinement Technique For Global 3 D Spherical Mantle Convection Modelling Topic Of Research Paper In Earth And Related Environmental Sciences Download Scholarly Article Pdf And Read For Free On



Iopscience Iop Org



Solved 15 Given Int I 2 J 6 K 10 Boolean B Tru



The Initial Jump Diameter D J 2r J As A Function Of H D 2 3 D 1 3 Download Scientific Diagram



Carsphairn Org
コメント
コメントを投稿